ВЕСЕЛЫЕ КАРТИНКИ :)
#5541
Отправлено 17 July 2020 - 19:05
#5544
#5546
Отправлено 18 July 2020 - 23:21
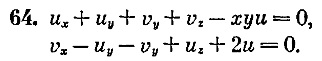
#5560
Отправлено 23 July 2020 - 16:39
Количество пользователей, читающих эту тему: 17
0 пользователей, 17 гостей, 0 анонимных







